Slaidy.com
Алгебра
Английский язык
Астрономия
Биология
География
Геометрия
Информатика
История
Литература
Математика
Медицина
Музыка
МХК
ОБЖ
Обществознание
Педагогика
Немецкий язык
Русский язык
Технология
Физика
Философия
Химия
Экология
Экономика
Детские презентации
Шаблоны презентаций
Разное
Культурология
Окружающий мир
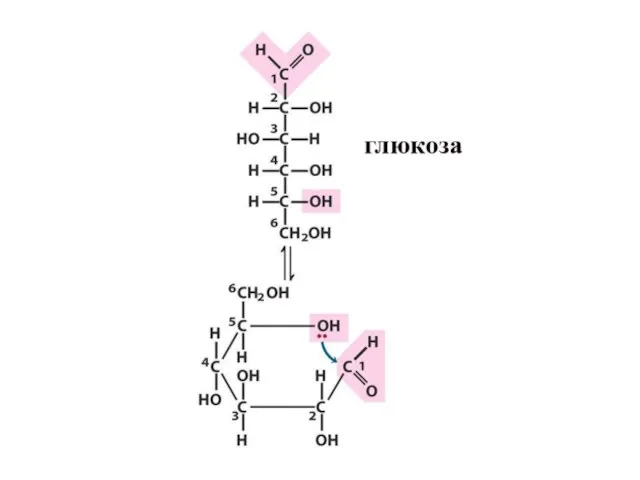
Cn(H2O)m, где n=m – простые сахара, или моносахариды, n>m – сложные сахара, олиго- и полисахариды
Февраль 12, 2021
Главная
Разное
Cn(H2O)m, где n=m – простые сахара, или моносахариды, n>m – сложные сахара, олиго- и полисахариды
Содержание
28.
Скачать презентацию
Слайд 2
Слайд 3
Слайд 4
Слайд 5
Слайд 6
Слайд 7
Слайд 8
Слайд 9
Слайд 10
Слайд 11
Слайд 12
Слайд 13
Слайд 14
Слайд 15
Слайд 16
Слайд 17
Слайд 18
Слайд 19
Слайд 20
Слайд 21
Слайд 22
Слайд 23
Слайд 24
Слайд 25
Слайд 26
Имя файла: Cn(H2O)m,-где-n=m-–-простые-сахара,-или-моносахариды,-n>m-–-сложные-сахара,-олиго--и-полисахариды.pptx
Количество просмотров: 98
Количество скачиваний: 0
Скачать
- Предыдущая
КИСЛОТНЫЙ СОСТАВ ДЛЯ НАПРАВЛЕННОЙ ОБРАБОТКИ ПРИЗАБОЙНОЙ ЗОНЫ ПЛАСТА
Следующая -
Разряды местоимений
Похожие презентации
ВВС и Военно-космические войска
СтранаРоссия Город Санкт-ПетербургСанкт-Петербург, Садовая улица, дом 2 Садовая улица ОсновательПавел I Дата основания 26 февраля (9
Диагностика уровня подготовленности к ЕГЭ
Презентация на тему Южная америка
Olemus ja meetodid
Специализированный депозитарий в системе жилищного обеспечения военнослужащих: текущая ситуация и перспективы
Магнитное взаимодействие. Изучение свойств магнита
Редукторы для сжатых газов
Толерантность
Технологическая карта урока
У птичьей кормушки
Организация проведения в 2012г. УСТНОЙ ЧАСТИ ГИА по иностранным языкам выпускников IX классов ОУ
Европейский романтизм. Живопись 19 века
Урок-Игра Такие простые и сложные предложения
Проекционные методы в линейном регрессионном анализе: РГК/ПЛС
Система государственной регистрации недвижимого имущества, прав на него и сделок с ним
Elizabeth I
ГРАММАТИЧЕСКИЙ СПРАВОЧНИК
Использование открытого и свободно распространяемого программного обеспечения
Дорога, её элементыи правила поведения на ней
РЕАЛИЗОВАННЫЕ ПРОЕКТЫ
Инструменты увеличения реализации ТНП на АЗС
конфликт задания
Художественный музей имени Радищева
Применение в Верховном суде пленума по заключению и толкованию договора
Натюрморт. Композиция в натюрморте
Дети против коррупции
Гравюра